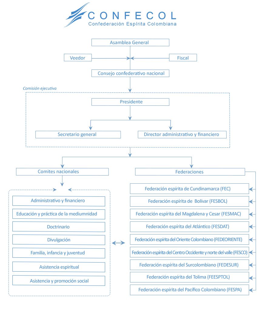
Confederación Espírita Colombiana – CONFECOL:
Es el ente rector que representa al movimiento Espírita Colombiano, organizado y basado en las enseñanzas de Allan Kardec. Está constituida por las Federaciones, representantes del movimiento en las diferentes regiones del país, que profesan la Doctrina Espírita codificada por Allan Kardec.
Federación Espírita:
Máximo órgano representativo de carácter regional y constituido por los Centros, Sociedades, Instituciones y demás organizaciones locales espíritas federadas. Son organización es sin ánimo de lucro, con personería jurídica y representación legal válida, que desarrolla actividades de estudio, difusión, practica de la Doctrina Espírita, unión entre las instituciones Espíritas y de unificación del Movimiento Espirita.
Centro Espírita:
Es el núcleo hacia donde se encamina a aquellos que quieren estudiar el Espiritismo.
-
- Es un núcleo de estudio, de fraternidad, de oración y de trabajo, según los principio espiritas.
- Taller de trabajo del perfeccionamiento intimo por la practica del Evangelio de Jesús.
- Es una Escuela de formación espiritual y moral.
- Es un Templo de Oración y Caridad.
Te puede interesar el articulo: El Centro Espírita
Grupos de Estudio Espírita:
Son agrupaciones de tres o más personas de grupo base, que pueden ser de carácter familiar o de afinidad, fundamentalmente dedicadas al estudio inicial de la Doctrina Espírita.
Fundación Espírita:
Organización constituida sin fin de lucro, que, por voluntad de las instituciones Espíritas, prestan asistencia a tales personas en sus necesidades más inmediatas y buscar, además, promoverlas por medio de cursos y tareas de forma profesional y personal, así como esclarecerlas con las enseñanzas morales del Evangelio a la luz de la Doctrina Espírita.
Organigrama

